PERMA-PROTECTOR®
TECHNIK & FUNKTION
Moderne Oberflächenschutzsysteme müssen vielfältigen Anforderungen gerecht werden. Korrosions- und Bewitterungsschutz sowie easy-to-clean Eigenschaften stehen heute im Vordergrund.
PERMA-PROTECTOR® ist seit über 15 Jahren der Inbegriff für kompromisslosen Oberflächenschutz aus dem Hause SST® Oberflächentechnik und wird aufgrund einzigartiger Eigenschaften in zahllosen technischen Anwendungen als Problemlöser eingesetzt:
PERMA-PROTECTOR® ist seit über 15 Jahren der Inbegriff für kompromisslosen Oberflächenschutz aus dem Hause SST® Oberflächentechnik und wird aufgrund einzigartiger Eigenschaften in zahllosen technischen Anwendungen als Problemlöser eingesetzt:
- Korrosions- und Abrasionsschutz
- Easy-to-clean- bzw. Antihaftbeschichtung
- Hydro-/oleophobe Barriereschicht
- Steigerung der Oberflächenresistenz
- Optimierung von Reibwerten
- Glanz- und farbintensivierender Klarlackersatz
- UV- und chemikalienbeständige Oberflächen
- Trockenschichthärte bis zu 9H (Quarzglas, SiO2)
- Geprüft nach gängigen Industrienormen
Mit PERMA-PROTECTOR® lassen sich sowohl metallische als auch lackierte Substrate sowie eine Vielzahl an Kunststoffen und Glas dauerhaft schützen. Das Beschichtungsmittel kann wie herkömmlicher Lack verarbeitet werden (Sprüh-/Tauchbelackung oder per Mikrofaserapplikator) und härtet bereits bei Raumtemperatur vollständig aus. Aufgrund der hohen Vernetzungsdichte mit niedriger Oberflächenenergie entsteht eine extrem widerstandsfähige Barriereschicht mit Antihaftwirkung auf dem beschichteten Substrat. Des Weiteren werden eventuell vorhandene Mikrostrukturen / Risse in der Oberfläche ausgefüllt und damit repariert.
Dampfdichte wasser-, öl- und schmutzabweisende Barriereschicht
REM-Aufnahme der PERMA-PROTECTOR® Trockenschicht auf Edelstahl
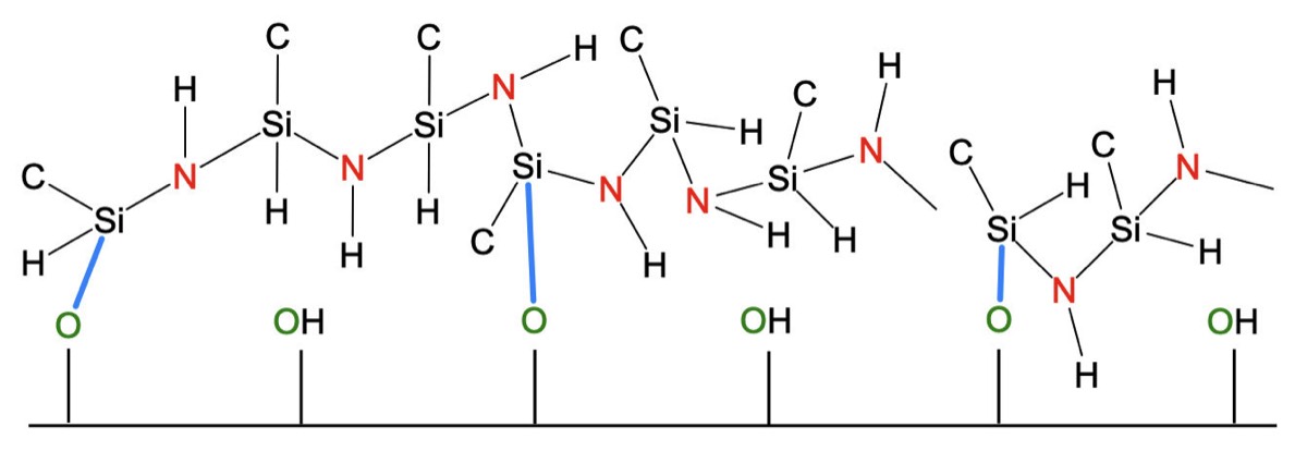
Die Polymerstruktur besteht aus Silizium (Si), Stickstoff (N), Wasserstoff (H) und Kohlenstoff (C). Unter Abspaltung von Wasserstoff (H2) und Ammoniak (NH3) binden Siliziumatome an die polaren Gruppen des Substrats. PERMA-PROTECTOR® ist frei von perfluorierten und polyfluorierten Alkylsubstanzen (PFAS frei). Nach der Applikation verbindet sich PERMA-PROTECTOR® bei Raumtemperatur kovalent (chemisch) mit dem behandelten Substrat.
"Es entsteht eine synthetische Glasschicht mit perfekter Haftung"
PERMA-PROTECTOR® Polymer auf polarer Oberfläche
Kovalente Bindung (Atombindung) zwischen Silizium und den polaren Gruppen des Substrats unter Abspaltung von Wasserstoff und Ammoniak
ANWENDUNGSBEISPIELE
PERMA-PROTECTOR® 640 beschichteter Tanksattelauflieger / klaeser.de
Permanent-keramische Versiegelung für Reisemobile / campercoating.eu
Korrosionsschutzbeschichtung mit PERMA-PROTECTOR® 640
Anti-Fingerprint Beschichtung für Aufzugskabinen aus Edelstahl
PERMA-PROTECTOR® 640 easy-to-clean Beschichtung in der Gastronomie
DEKRA geprüft für Lebensmittelkontakt in Anlehnung an Verordnung EG Nr. 1935/2004
DEKRA geprüft für Lebensmittelkontakt in Anlehnung an Verordnung EG Nr. 1935/2004
SST Oberflächentechnik GmbH & Co. KG
Frankfurter Str. 26
DE-36154 Hosenfeld
Tel.: +49(0)6669-918019-0
E-Mail: info@sst-oberflaechentechnik.de
Frankfurter Str. 26
DE-36154 Hosenfeld
Tel.: +49(0)6669-918019-0
E-Mail: info@sst-oberflaechentechnik.de

